Talk:Butylone
This page has not been fully approved by the PsychonautWiki administrators. It may contain incorrect information, particularly with respect to dosage, duration, subjective effects, toxicity and other risks. It may also not meet PW style and grammar standards. |
Butylone, also known as β-keto-N-methylbenzodioxolylbutanamine (bk-MBDB), is an entactogen, psychedelic, and stimulant of the phenethylamine chemical class. It is the β-keto analogue of MBDB. Butylone is produced as a white crystal.[1]
History and culture
Butylone was first synthesized by Koeppe, Ludwig and Zeile which is mentioned in their 1967 paper. It remained an obscure product of academia until 2005 when it was synthesized by a chemical supply company, and has since continued to be sold as a research chemical.[2] It has since been explored as a possible entheogen. Butylone shares the same relationship to MBDB as methylone does to MDMA ("Ecstasy"). The dosage range is not fully understood but seems to be lower than for MBDB. Formal research on this chemical was first conducted in 2009, when it was shown to be metabolised in a similar manner to related drugs like methylone.[3]
Chemistry
Butylone is a CAD (Cationic amphiphilic drugs), this means that the drug has a hydrophobic section and a cationic hydrophilic section. The hydrophobic section will associate with lipid while the hydrophilic cationic section will associate with the aqueous phase. Lipophilicity of the drug can affect cell membrane permeability. The hydrophobicity allows the drug to interact with membrane receptors. The cationic nature affects movement of Na+ and Ca+ across the cell membrane.
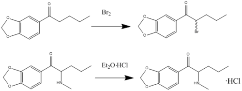
Synthesis
Butylone can be synthesized in a laboratory via the following route: 3,4- methylenedioxybutyrophenone dissolved in dichloromethane to bromine gives 3′,4′-methylenedioxy-2-bromobutyrophenone. This product was then dissolved in dichloromethane and added to an aqueous solution of methylamine (40%). HCl was then added. The aqueous layer was removed and made alkaline by using sodium bicarbonate. For the extraction of the amine ether was used. To get butylone a drop of ether and HCl solution was added. [4]
Pharmacology
There are three major metabolic pathways of bk-MBDB as shown in the figure. As result of demethylenation followed by O-methylation bk-MBDB metabolises into 4-OH-3-MeO and 3-OH-4-MeO metabolites in human urine. The second pathway is a β-ketone reduction into β-ketone reduced metabolites. The third pathway is a N-dealkylation into N-dealkyl metabolites. The first two pathways occur more than pathway three. The most common metabolite is the 4-OH-3-MeO metabolite. The metabolites containing a hydroxyl-group would be excreted as their conjugates in urine. [5] [6]
Butylone has similar effects as phenethylamines like MDMA and MDBD. It causes an increase in the levels of extracellular serotonin and dopamine. Several studies with animals showed that injections with butylone cause hyperlocomotion. This hyperlocomotion is in direct relationship with the competitive inhibition of dopamine and serotonin uptake in synaptic cells, hereby causing an increase in extracellular levels of dopamine and serotonin. Moreover, butylone activates the 5-HT receptors, which are responsible for extracellular uptake of serotonin and dopamine. When a selective antagonist of the 5-HT receptors as sb-216 641 is added, the effect of butylone is reduced. Butylone is also known for his potency to bind to hDAT, the human dopamine transporter. Furthermore, butylone can bind to VMAT2, which is also known for is dopamine transport abilities. Last butylone has binding activity for the sigma1 receptor, which is responsible for calcium signaling. This is logic cause the calcium concentration has to be regulated for hyperlocomotion. Butylone effects the concentration of dopamine and serotonin, causing hyperlocomotion. Butylone primarily blocks the transporters of serotonin and dopamine and less functions as a substrate for the transporters. [7][8]
The compound butylone is significantly used as a recreational drug. Reports exist for a different number of methods to consume it,[9] and the risks associated with different routes of administration apply.
In the following table the half maximal inhibitory concentrations are shown for NET,DAT,SERT respectively norepinephrine, dopamine and serotonin receptors.
| NET IC50 (µM) | 2.02 (1,5-2,7) |
|---|---|
| DAT IC50 (µM) | 2,90 (2,5-3,4) |
| SERT IC50 (µM) | 6,22 (4,3-9,0) |
In the following table the half maximal effective concentrations are shown for DAT and SERT, respectively dopamine and serotonin receptors.
| DAT EC50 (µM) | >100 |
|---|---|
| SERT EC50 (µM) | 5,5 (1,8-17) |
Subjective effects
| This subjective effects section is a stub. As such, it is still in progress and may contain incomplete or wrong information. You can help by expanding or correcting it. |
Disclaimer: The effects listed below cite the Subjective Effect Index (SEI), an open research literature based on anecdotal user reports and the personal analyses of PsychonautWiki contributors. As a result, they should be viewed with a healthy degree of skepticism.
It is also worth noting that these effects will not necessarily occur in a predictable or reliable manner, although higher doses are more liable to induce the full spectrum of effects. Likewise, adverse effects become increasingly likely with higher doses and may include addiction, severe injury, or death ☠.
The effects of butylone have not been described in any scientific literature. Some drug forums report personal experiences with butylone. The experiences are similar to methylone and ethylone: euphoria, stimulation, mental sharpness and a warm safe feeling. However the doses planned to be used is exceeded most of the time, the effects last for 10–12 hours [11]
After the effects of this chemical compound disappear some side effects appear: headaches, loss of sleep, depression, and appetite. Not everyone will have all side effects and the side effects will vary per person.[9]
Experience reports
There are currently 0 experience reports which describe the effects of this substance in our experience index.
Additional experience reports can be found here:
Toxicity and harm potential
This toxicity and harm potential section is a stub. As a result, it may contain incomplete or even dangerously wrong information! You can help by expanding upon or correcting it. |
Butylone can cause acute toxicity to specific organs. Single exposure is sufficient for harmful effects. Exposure of butylone also results in skin and eye irritation. Moreover, butylone can cause damage to the respiratory system.[12] Butylone is stable under normal conditions.[13] Formation of toxic gases is possible during heating or in case of fire. It is strongly recommended that one use harm reduction practices when using this substance.
Lethal dosage
Tolerance and addiction potential
Dangerous interactions
This dangerous interactions section is a stub. As such, it may contain incomplete or invalid information. You can help by expanding upon or correcting it. |
Warning: Many psychoactive substances that are reasonably safe to use on their own can suddenly become dangerous and even life-threatening when combined with certain other substances. The following list provides some known dangerous interactions (although it is not guaranteed to include all of them).
Always conduct independent research (e.g. Google, DuckDuckGo, PubMed) to ensure that a combination of two or more substances is safe to consume. Some of the listed interactions have been sourced from TripSit.
- 25x-NBOMe & 25x-NBOH - 25x compounds are highly stimulating and physically straining. Combinations with Butylone should be strictly avoided due to the risk of excessive stimulation and heart strain. This can result in increased blood pressure, vasoconstriction, panic attacks, thought loops, seizures, and heart failure in extreme cases.
- Alcohol - Combining alcohol with stimulants can be dangerous due to the risk of accidental over-intoxication. Stimulants mask alcohol's depressant effects, which is what most people use to assess their degree of intoxication. Once the stimulant wears off, the depressant effects will be left unopposed, which can result in blackouts and severe respiratory depression. If mixing, the user should strictly limit themselves to only drinking a certain amount of alcohol per hour.
- DXM - Combinations with DXM should be avoided due to its inhibiting effects on serotonin and norepinephrine reuptake. There is an increased risk of panic attacks and hypertensive crisis, or serotonin syndrome with serotonin releasers (MDMA, methylone, mephedrone, etc.). Monitor blood pressure carefully and avoid strenuous physical activity.
- MDMA - Any neurotoxic effects of MDMA are likely to be increased when other stimulants are present. There is also a risk of excessive blood pressure and heart strain (cardiotoxicity).
- MXE - Some reports suggest combinations with MXE may dangerously increase blood pressure and increase the risk of mania and psychosis.
- Dissociatives - Both classes carry a risk of delusions, mania and psychosis, and these risk may be multiplied when combined.
- Stimulants - Butylone may be dangerous to combine with other stimulants like cocaine as they can increase one's heart rate and blood pressure to dangerous levels.
- Tramadol - Tramadol is known to lower the seizure threshold[14] and combinations with stimulants may further increase this risk.
- MAOIs - This combination may increase the amount of neurotransmitters such as dopamine to dangerous or even fatal levels. Examples include syrian rue, banisteriopsis caapi, and some antidepressants.[15]
Legal status
This legality section is a stub. As such, it may contain incomplete or wrong information. You can help by expanding it. |
- China: As of October 2015 Butylone is a controlled substance in China.[16]
- Sweden: Sveriges riksdag added butylone to schedule I ("substances, plant materials and fungi which normally do not have medical use") as narcotics in Sweden as of Feb 1, 2010, published by Medical Products Agency in their regulation LVFS 2010:1 listed as Butylon, 1-(1,3-bensodioxol-5-yl)-2-(metylamino)butan-1-on.[17]
- United States: Butylone is also a Schedule I substance under the Controlled Substances Act of the United States.
See also
External links
References
- ↑ http://www.sigmaaldrich.com/MSDS/MSDS/DisplayMSDSPage.do?country=NL&language=nl&productNumber=06525&brand=FLUKA&PageToGoToURL=http%3A%2F%2Fwww.sigmaaldrich.com%2Fcatalog%2Fproduct%2Ffluka%2F06525%3Flang%3Den
- ↑ Uchiyama N, Kikura-Hanajiri R, Kawahara N, Goda Y. Analysis of designer drugs detected in the products purchased in fiscal year 2006. (Japanese). Yakugaku Zasshi. 2008 Oct;128(10):1499-505. PMID 18827471
- ↑ Zaitsu K, Katagi M, Kamata HT, Kamata T, Shima N, Miki A, Tsuchihashi H, Mori Y (July 2009). "Determination of the metabolites of the new designer drugs bk-MBDB and bk-MDEA in human urine". Forensic Science International. 188 (1–3): 131–9. doi:10.1016/j.forsciint.2009.04.001. PMID 19406592.
- ↑ López‐Arnau, R., Martínez‐Clemente, J., Pubill, D., Escubedo, E. and Camarasa, J. (2012), Comparative neuropharmacology of three psychostimulant cathinone derivatives: butylone, mephedrone and methylone. British Journal of Pharmacology, 167: 407–420. doi:10.1111/j.1476-5381.2012.01998.x
- ↑ http://ac.els-cdn.com/S0379073809001558/1-s2.0-S0379073809001558-main.pdf?_tid=edcf700c-c317-11e4-948b-00000aacb35f&acdnat=1425547007_5f64d00dfe02a6528abac4461bf954a2
- ↑ http://www.ncbi.nlm.nih.gov/pmc/articles/PMC3550219/
- ↑ http://www.ncbi.nlm.nih.gov/pmc/articles/PMC3692398/
- ↑ http://www.ncbi.nlm.nih.gov/pmc/articles/PMC3481047/
- ↑ 9.0 9.1 https://drugs-forum.com/forum/showwiki.php?title=Butylone
- ↑ 10.0 10.1 http://onlinelibrary.wiley.com/doi/10.1111/j.1476-5381.2012.02145.x/epdf
- ↑ http://www.soft-tox.org/files/Designer_Drugs/Butylone.pdf
- ↑ http://www.sigmaaldrich.com/catalog/product/fluka/06525?lang=en®ion=NL
- ↑ http://www.lgcstandards.com/WebRoot/Store/Shops/LGC/FilePathPartDocuments/ST-WB-MSDS-1273114-1-1-1.PDF
- ↑ Talaie, H.; Panahandeh, R.; Fayaznouri, M. R.; Asadi, Z.; Abdollahi, M. (2009). "Dose-independent occurrence of seizure with tramadol". Journal of Medical Toxicology. 5 (2): 63–67. doi:10.1007/BF03161089. eISSN 1937-6995. ISSN 1556-9039. OCLC 163567183.
- ↑ Gillman, P. K. (2005). "Monoamine oxidase inhibitors, opioid analgesics and serotonin toxicity". British Journal of Anaesthesia. 95 (4): 434–441. doi:10.1093/bja/aei210
. eISSN 1471-6771. ISSN 0007-0912. OCLC 01537271. PMID 16051647.
- ↑ "关于印发《非药用类麻醉药品和精神药品列管办法》的通知" (in Chinese). China Food and Drug Administration. 27 September 2015. Retrieved 1 October 2015.
- ↑ http://www.lakemedelsverket.se/upload/lvfs/LVFS_2010-1.pdf